「低温硬化接着剤」の発明に関して
公益社団法人発明協会が主催する「令和7年度全国発明表彰」において日本弁理士会会長賞を受賞された「耐熱性・耐湿性を発現する低温硬化接着剤の発明」(特許第5923472号、四国化成工業株式会社)について解説します[1][2][3]。
発明の名称は「メルカプトアルキルグリコールウリル類とその利用」です[4]。
以下に請求項1および3のみ記載し、他の請求項は省略します。請求項1および3はいずれも独立請求項です。
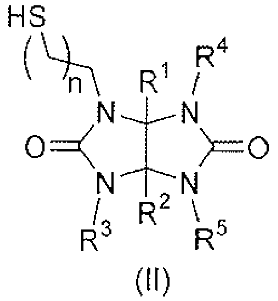
【請求項1】
(式中、R1及びR2はそれぞれ独立に水素原子、低級アルキル基又はフェニル基を示し、
R3、R4及びR5はそれぞれ独立に水素原子、メルカプトメチル基、2-メルカプトエチル基及び3-メルカプトプロピル基から選ばれるメルカプトアルキル基を示し、
nは0、1又は2である。)
で表されるメルカプトアルキルグリコールウリル類。
【請求項3】
(式中、R1及びR2はそれぞれ独立に水素原子、低級アルキル基又はフェニル基を示し、
R3、R4及びR5はそれぞれ独立に水素原子、メルカプトメチル基、2-メルカプトエチル基及び3-メルカプトプロピル基から選ばれるメルカプトアルキル基を示し、
分子中に上記メルカプトアルキル基を2個以上有し、
nは0、1又は2である。)
で表されるメルカプトアルキルグリコールウリル類を硬化剤として含むエポキシ樹脂組成物。
請求項1および請求項3に記載されるメルカプトアルキルグリコールウリル類として、R1及びR2が水素原子であり、nが1であり、R3、R4及びR5が2-メルカプトエチル基であるものを以下に記載します。
明細書の記載および硬化剤に関する一般常識等からメルカプトアルキルグリコールウリル類のそれぞれの部位の機能は以下のものであると推測されます。
メルカプトアルキルグリコールウリル類は、新規な含硫黄化合物の合成中間体となります(請求項1)。
また、分子中に2個以上のメルカプトアルキル基を有するものは、例えば、エポキシ樹脂の硬化剤として有用となります(請求項3)。
参考文献[2]には、「電子材料用高機能接着剤に使用されるエポキシ樹脂は、環境負荷低減のため、(1)100℃未満の低温条件で硬化・成形が可能であること、(2)硬化・成形物が高い耐熱性、耐湿性を有することが求められていた。・・・本発明を使用することで、150℃以上の高温条件下では変形・不具合が発生してしまう電子部品を搭載する新たなデバイスの設計が可能となり・・・」と記載され、また、本発明を使用すると、エポキシ樹脂を使った密着性試験において高湿環境下で放置した際にも密着性が悪化しないことがデータで示されています。
<参考文献>
[1]https://koueki.jiii.or.jp/hyosho/zenkoku/2025/zenkoku_jusho_ichiran.html
令和7年度全国発明表彰 受賞者一覧
[2]https://koueki.jiii.or.jp/hyosho/zenkoku/2025/jpaa.html
耐熱性・耐湿性を発現する低温硬化接着剤の発明(特許第5923472号)
[3]https://kagaku.shikoku.co.jp/wp/wp-content/uploads/2025/06/20250527-%E4%BB%A4%E5%92%8C7%E5%B9%B4%E5%BA%A6-%E5%85%A8%E5%9B%BD%E7%99%BA%E6%98%8E%E8%A1%A8%E5%BD%B0-%E6%97%A5%E6%9C%AC%E5%BC%81%E7%90%86%E5%A3%AB%E4%BC%9A%E4%BC%9A%E9%95%B7%E8%B3%9E%E3%82%92%E5%8F%97%E8%B3%9E-2.pdf
令和7年度 全国発明表彰 日本弁理士会会長賞を受賞
[4]特許5923472号


